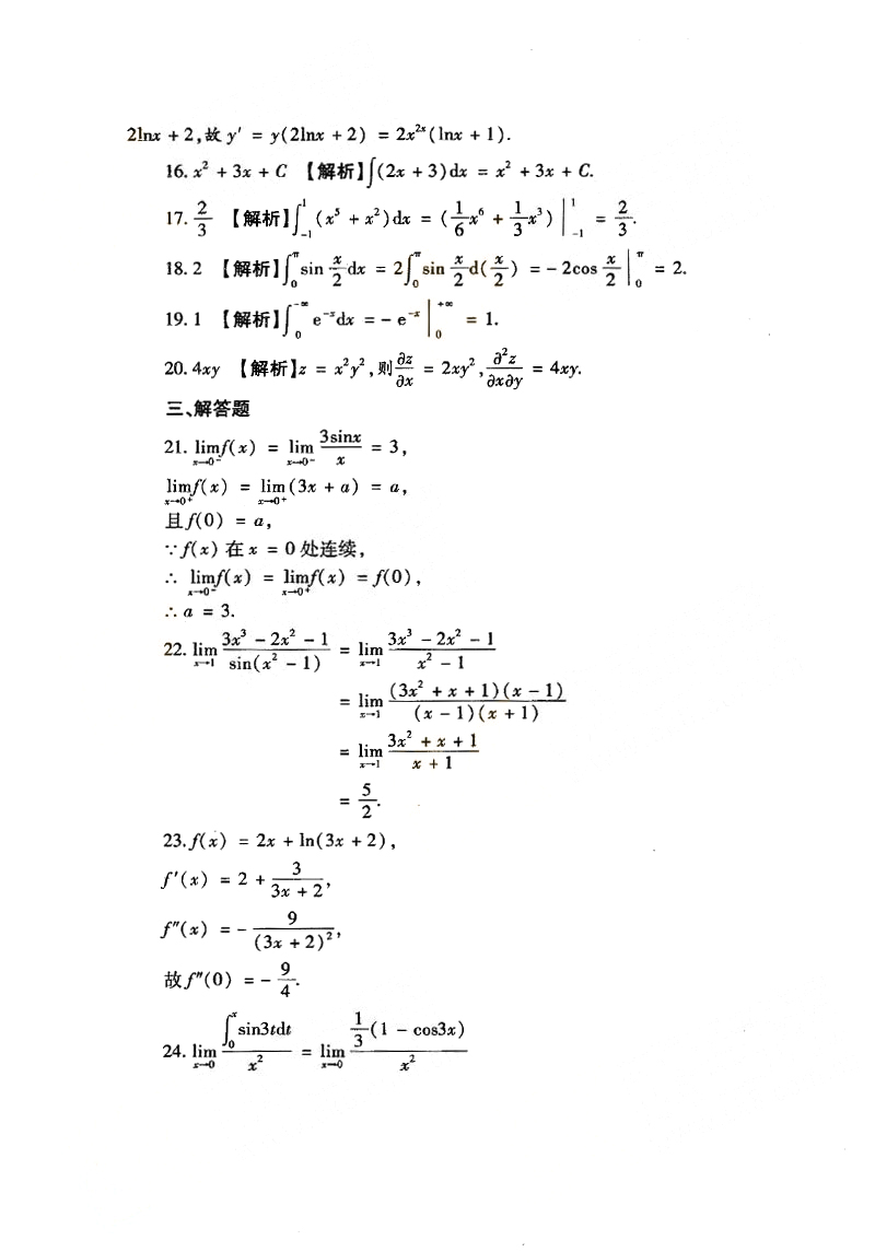
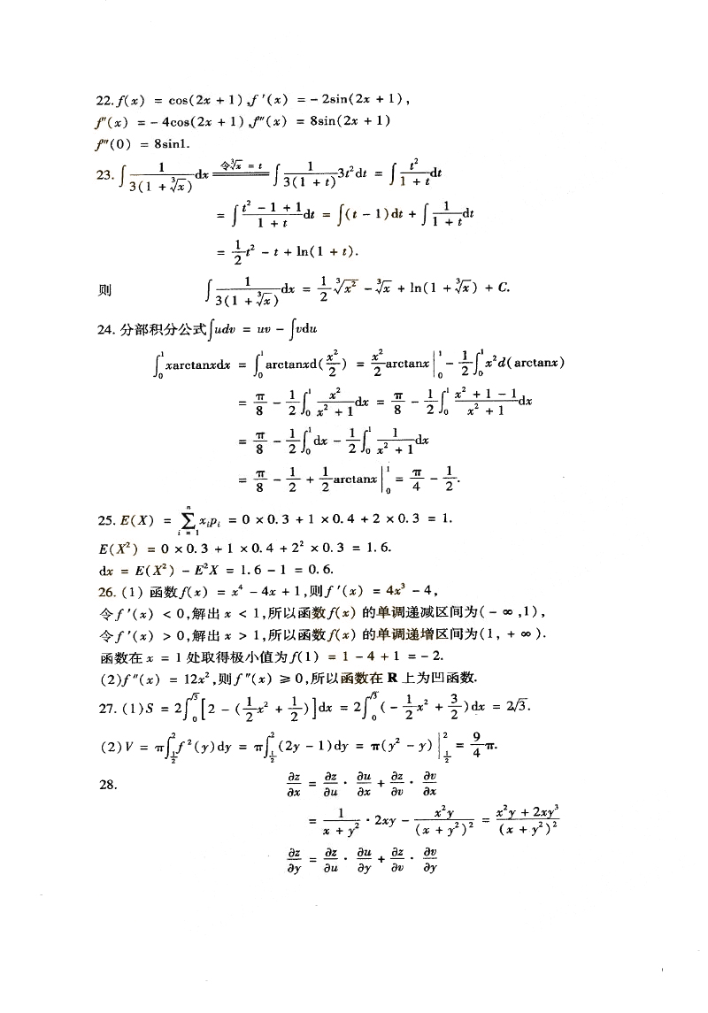
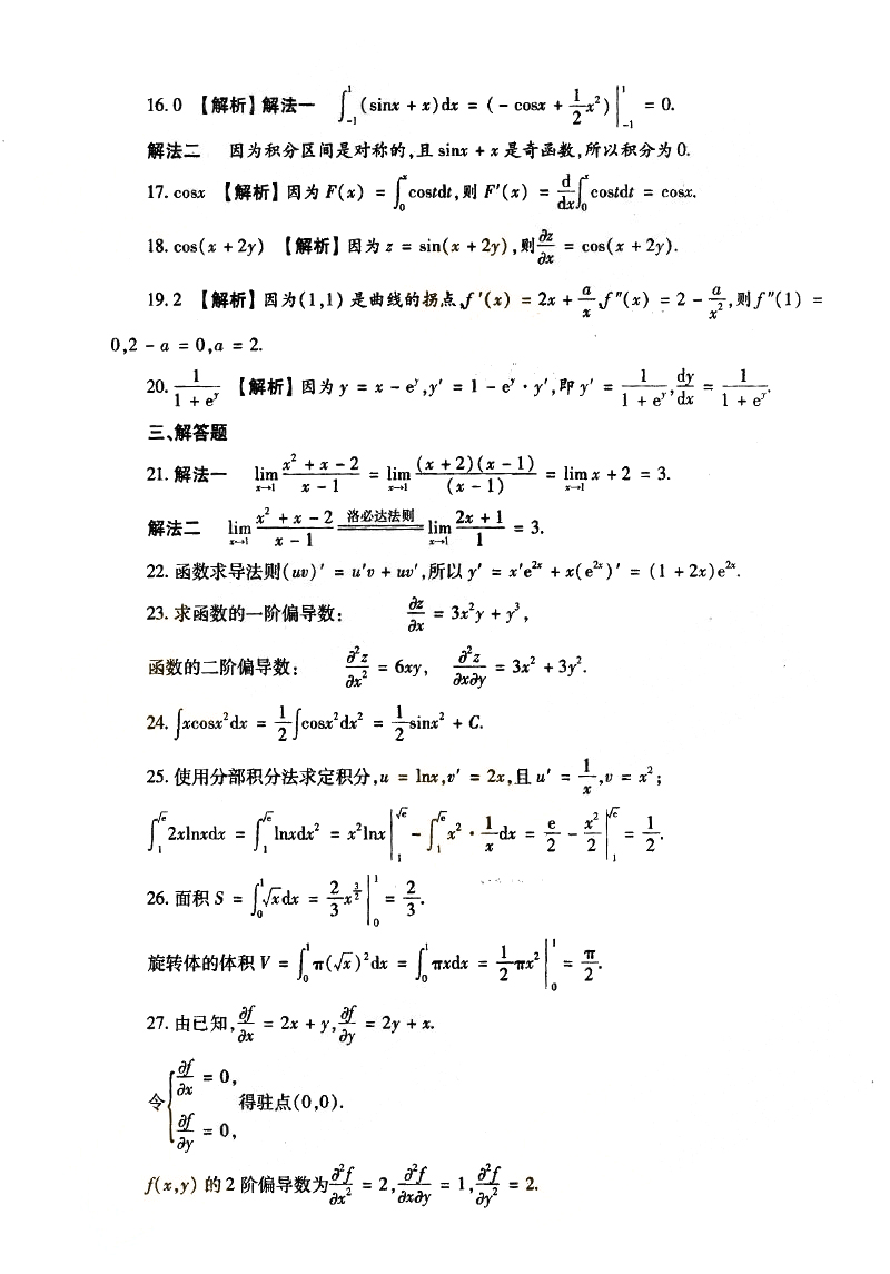
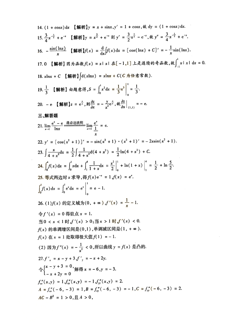
成人学历提升主要有成考、自考和电大,其中成人高考是报考人数最多的一种,对于经管类考生,需要考高数二。本文就2014-2018年全国(河南)成人高考专升本《高数(二)》真题答案介绍一下。了解更多河南省成人高考相关内容,请参考:河南省成人高考报考指南。
推荐阅读:全国(河南)成人高考历年真题及答案汇总
全国(河南)成人高考专升本《高数(二)》历年真题及答案汇总


2014-2018年全国(河南)成人高考专升本《高数(二)》真题答案(1)
2014-2018年全国(河南)成人高考专升本《高数(二)》真题答案(2)
2014-2018年全国(河南)成人高考专升本《高数(二)》真题答案(3)
2014-2018年全国(河南)成人高考专升本《高数(二)》真题答案(4)
2014-2018年全国(河南)成人高考专升本《高数(二)》真题答案(5)
2014-2018年全国(河南)成人高考专升本《高数(二)》真题答案(6)
2014-2018年全国(河南)成人高考专升本《高数(二)》真题答案(7)
2014-2018年全国(河南)成人高考专升本《高数(二)》真题答案(8)
2014-2018年全国(河南)成人高考专升本《高数(二)》真题答案(9)
2014-2018年全国(河南)成人高考专升本《高数(二)》真题答案(10)
2014-2018年全国(河南)成人高考专升本《高数(二)》真题答案(11)
2014-2018年全国(河南)成人高考专升本《高数(二)》真题答案(12)
2014-2018年全国(河南)成人高考专升本《高数(二)》真题答案(13)
河南成人学历预报名已经开始了,即日起即可报名。没报名的同学可以填写下方表单,领取历年真题复习资料及报名指导,报名和咨询电话:18538136881(同微信)。

