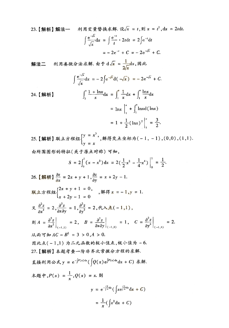
关于2014-2018年全国成人高考专升本《高数(一)》真题答案,参考老师下面的介绍。了解更多山东省成人高考相关内容,请参考:山东省成人高考报考指南。


2014-2018年全国成人高考专升本《高数(一)》真题答案(1)
2014-2018年全国成人高考专升本《高数(一)》真题答案(2)
2014-2018年全国成人高考专升本《高数(一)》真题答案(3)
2014-2018年全国成人高考专升本《高数(一)》真题答案(4)
2014-2018年全国成人高考专升本《高数(一)》真题答案(5)
2014-2018年全国成人高考专升本《高数(一)》真题答案(6)
2014-2018年全国成人高考专升本《高数(一)》真题答案(7)
2014-2018年全国成人高考专升本《高数(一)》真题答案(8)
2014-2018年全国成人高考专升本《高数(一)》真题答案(9)
2014-2018年全国成人高考专升本《高数(一)》真题答案(10)
2014-2018年全国成人高考专升本《高数(一)》真题答案(11)
2014-2018年全国成人高考专升本《高数(一)》真题答案(12)
2014-2018年全国成人高考专升本《高数(一)》真题答案(13)
2014-2018年全国成人高考专升本《高数(一)》真题答案(14)
2014-2018年全国成人高考专升本《高数(一)》真题答案(15)
2014-2018年全国成人高考专升本《高数(一)》真题答案(16)
2014-2018年全国成人高考专升本《高数(一)》真题答案(17)
2014-2018年全国成人高考专升本《高数(一)》真题答案(18)
2022年山东成人学历预报名正在进行中,即日起即可报名。没报名的同学可以填写下方表单,领取历年真题复习资料及报名指导,报名和咨询电话:15610130104(同微信)。
